Richard M. Christensen |
||
![]() |
![]() |
![]() |
Governing Equations
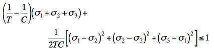
The failure criteria for isotropic materials are given by Eqs. (8)-(10) of Section II. When specialized to principal stresses they become and if the fracture criteria also apply
|
|||||||||||||||||||
![]() |
|||||||||||||||||||
Recent Additons |
|||||||||||||||||||
Key Junctures |
|||||||||||||||||||
![]() |
|||||||||||||||||||
General Matters |
|||||||||||||||||||
![]() |
|||||||||||||||||||
![]() |
|||||||||||||||||||
![]() |
|||||||||||||||||||
![]() |
![]() |
![]() |
![]() |
![]() |
![]() |
![]() |
![]() |
![]() |
![]() |
![]() |
![]() |
![]() |
![]() |
![]() |
![]() |
![]() |
![]() |
![]() |
![]() |
![]() |
![]() |
![]() |
![]() |
||||||||
![]() |
||||||||
Can Atomic/Nano Scale |
||||||||
![]() |
![]() |
![]() |
![]() |
![]() |
![]() |
![]() |
![]() |
![]() |
![]() |
||||||
![]() |
||||||
![]() |
![]() |
![]() |
![]() |
![]() |
![]() |
![]() |
![]() |
![]() |
![]() |
![]() |
||||||
![]() |
||||||
![]() |
![]() |
![]() |
![]() |
![]() |
![]() |
![]() |
![]() |
![]() |
![]() |
![]() |
||||||||
![]() |
||||||||
![]() |
![]() |
![]() |
![]() |
![]() |
![]() |
![]() |
![]() |
![]() |
![]() |
||||||
![]() |
||||||
![]() |
![]() |
![]() |
![]() |
![]() |
![]() |
![]() |
![]() |
![]() |
![]() |
![]() |
||||||||
![]() |
||||||||
![]() |
![]() |
![]() |
![]() |
![]() |
![]() |
![]() |
![]() |
![]() |
![]() |
||||||
Copyright© 2019 |
||||||
![]() |
![]() |
![]() |
![]() |
![]() |
![]() |
![]() |
![]() |
![]() |
![]() |